通知公告

首页  >  会金资讯  >  通知公告  >  正文

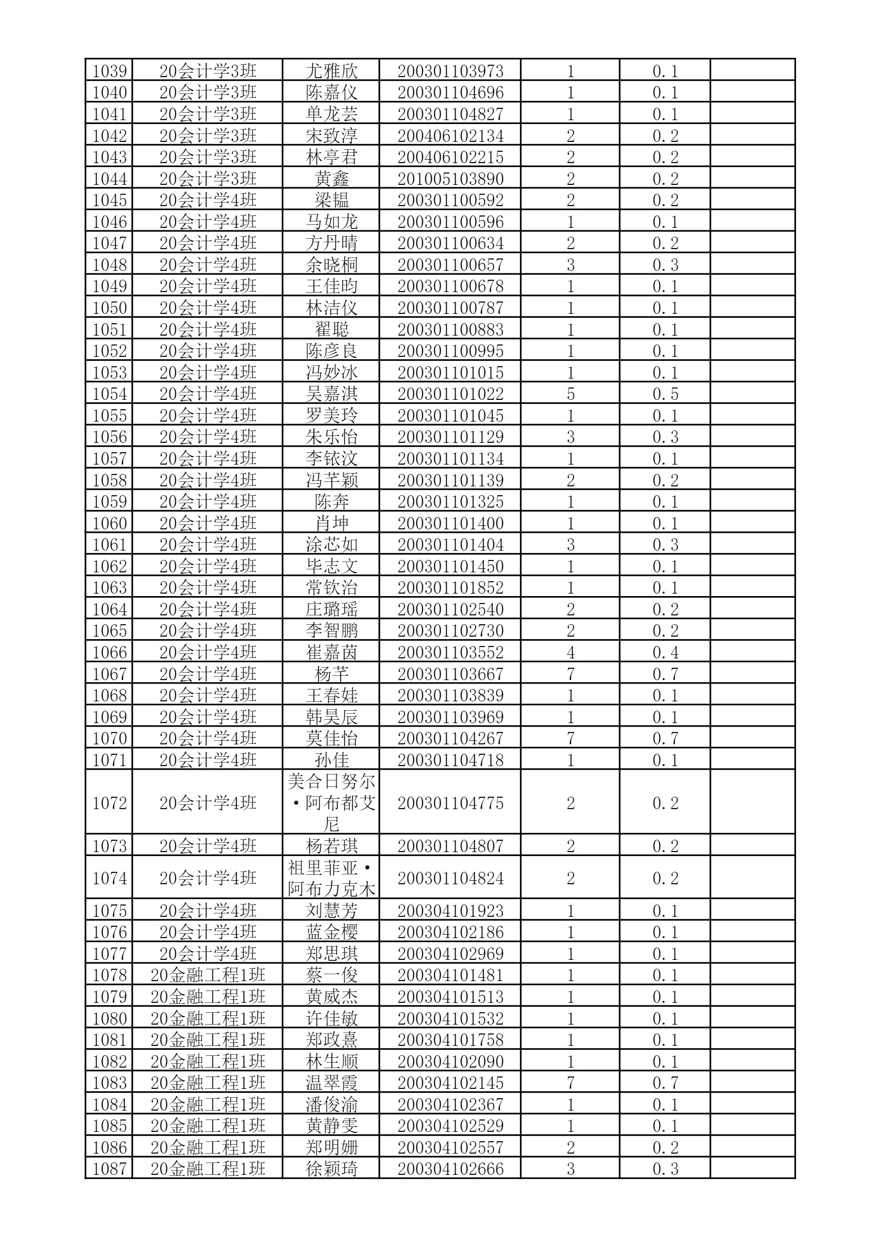
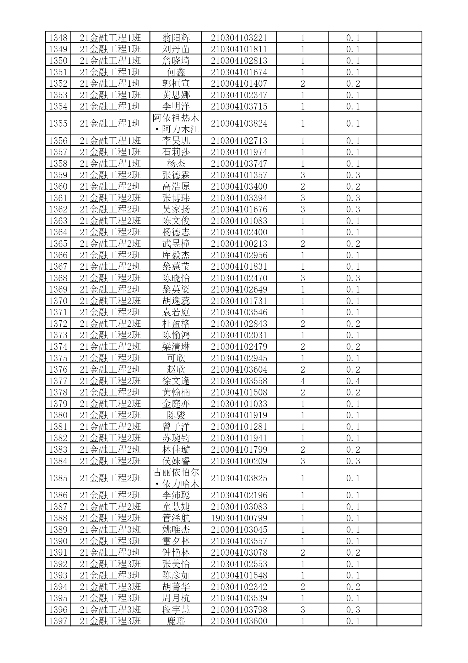
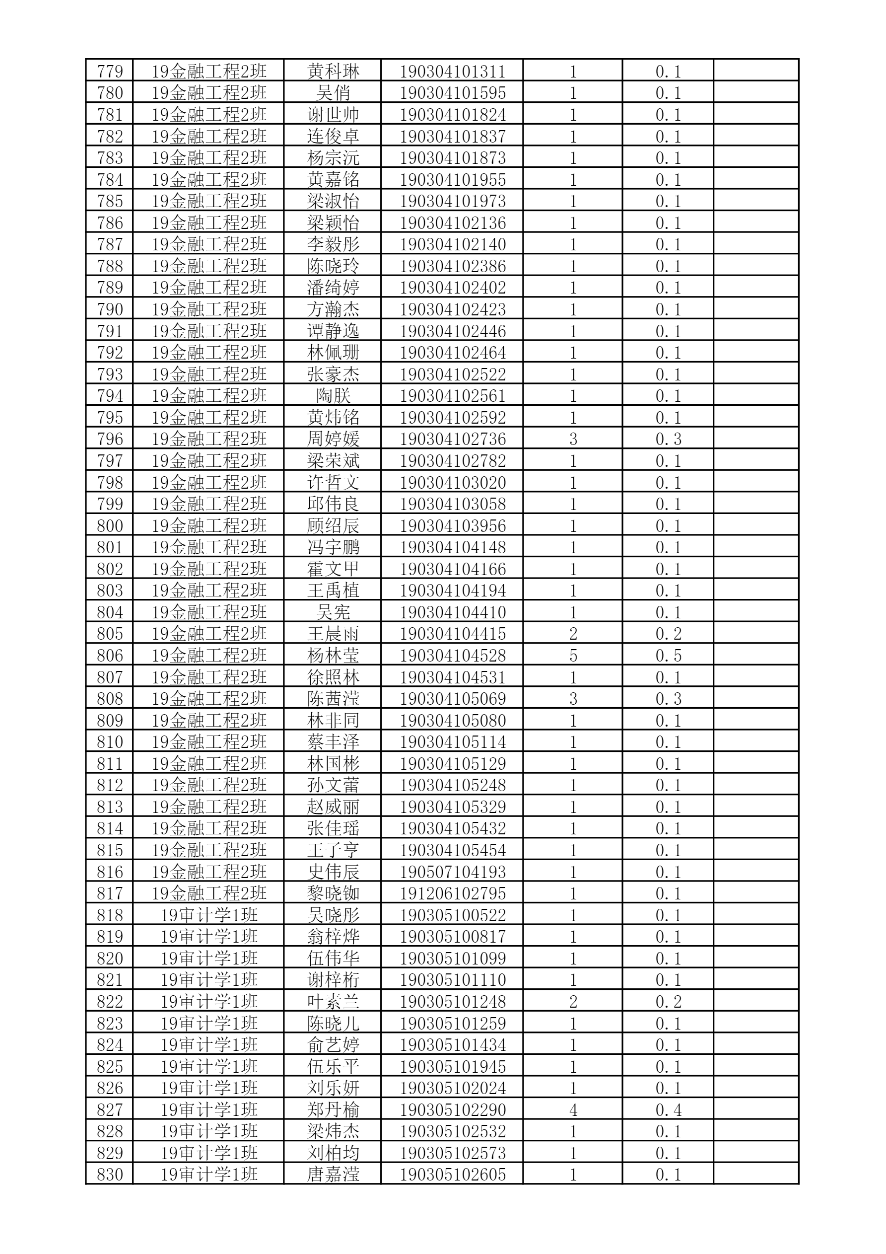
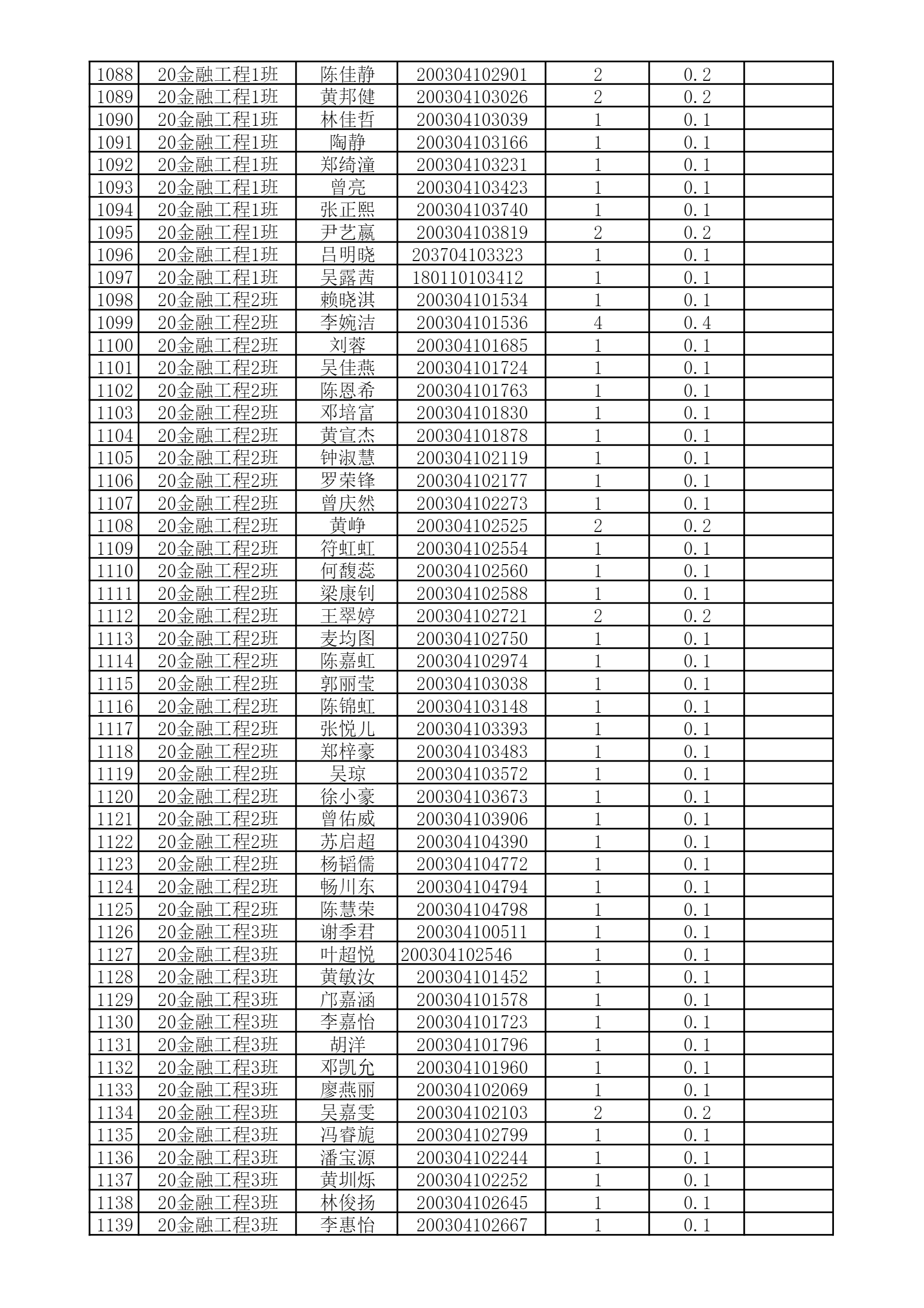
(公布)2021年下半年财经类专场小型双选会签到名单
zz:
来源:太阳成tyc33455cc
发布时间:2022-02-27
分享到:

1645933383643177.png1645933393257073.png1645933403245466.png1645933414333366.png1645933424374818.png1645933435840036.png1645933444498768.png1645933455448325.png1645933467926334.png1645933476265374.png1645933486808808.png1645933497730410.png1645933508740339.png1645933519411731.png1645933532729305.png1645933541908826.png1645933551671563.png1645933561880568.png1645933571547999.png1645933582800948.png1645933592584756.png1645933602225522.png1645933613835703.png1645933622452846.png1645933641998811.png1645933653421251.png1645933663205280.png1645933672160184.png

扫一扫 关注会金公司
微信号:zhbitkjxy
点击图片放大扫码加入
QQ群号:1125729122